一、KTV等娱乐场所建筑声学设计的概况
KTV场所分类
A.量版式KTV
朋友聚会,家庭团聚,同学party,生日庆祝。消费平民化。
B.高级娱乐会所
装修豪华,适合商务应酬,注重私密性。消费高。
C.夜总会
小包房设计面积在8~11平米,中包房设计在15~18平米,大包房在24~30平米,特大包房在55平米以上为宜
我国是世界上卡拉OK最多的国家,其装修风格各有千秋,但是普遍存在声学效果差的问题。即使KTV内部装修的多豪华,音响系统多高级,当人们去唱歌的时候还会发现唱起歌来很吃力,或者有声染色现象。有些地方还会串音严重,有些KTV还会由于排放的噪声影响了附近居民的正常生活而投诉不断,不能正常营业。为了能保证KTV的正常营业,KTV声学效果不能仅依赖高端的音响系统,而且也不实际,还要为好的音响系统制造优良的声学环境,使音响水准发挥得淋漓尽致。这就需要建筑声学设计,并且至始至终参透于KTV的装修,装饰之中。
二、KTV等娱乐场所建筑声学设计的相关标准和规范
1、《建筑隔声评价标准》GB/50121-2005
2、《民用建筑隔声设计规范》GB 50118-2010
3、《社会生活环境噪声排放标准》GB 22337-2008
4、《声环境质量标准》GB 3096-2008
5、《建筑隔声与吸声构造》(国家建筑标准设计图集08J931)
6、《厅堂混响时间测量规范》GBJ76-84
7、《民用建筑工程室内环境污染控制规范》GB50325-2001
8、《建筑设计防火规范》GBJ16-1987(2001年版)
9、《建筑内部装修设计防火规范》(GB50222-95)
三、KTV等娱乐场所建筑声学设计的项目特点及声学问题
1、音质问题
(1)接待室及等候厅容量较大,在没有经过任何建筑声学装修的情况下,混响时间过长,听音混浊,清晰度低,影响客人与接待人员正常交谈。
(2)包房体型规则成正方形,房间容量小,容易产生声染色、共鸣、谐振等。
(3)包房体型为弧形,凹型,容易产生声聚焦。
(4)包房混响时间过长,加上设备本身存在的缺陷,容易产生啸叫。同时混响时间过长影响歌唱者听音的清晰度。
2、噪声
(1)包间与包间之间隔墙隔声性能差,包间产生串音现象。
(2)地面撞击声大,KTV排放噪声影响附近居民正常生活和工作。
(3)设备噪声,中央空调系统,通风系统噪声过大。
四、KTV等娱乐场所建筑声学设计的音质设计
混响时间
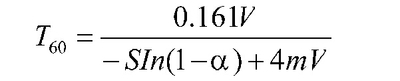
混响时间T60是指当室内声场达到稳态后,令声源停止发声,自此刻起至声压级衰变60dB所经历的时间。是评价房间音质最重要的客观指标之一。
T60的计算公式为:

其中,室内平均吸声系数:

V —房间容积,m3; S —室内总表面积,m 2; α —室内平均吸声系数; m —空气中声衰减系数(M-1);
S i —室内各部分的表面积,m2;α i —与Si对应的吸声系数;N j —人或物体的数量,m2; α j — 与Ni对应的吸声系数。
小包房设计面积在8~11平米,中包房设计在15~18平米,大包房在24~30平米,特大包房在55平米以上。包房容积并非太大,所以混响时间根据房间体型大小主要控制在0.5-1.0s之间。
解决方案
1、接待厅和等候厅的墙面和顶棚根据混响时间的大小要求合理布置吸声材料和吸声吊顶。吸声墙面和吊顶的具体规格,面积和安装方法见CAD图纸。
2、包房中的墙面和顶棚根据计算的混响时间大小合理布置吸声材料,小包厢主要在音响设备、视频的后墙上和对墙安装吸声结构。中包房、大包房和特大包房要根据混响时间要求合理增加材料面积。为减少成本,可设置吸声吊顶。要注意避免做成“腔体”结构。
3、家具的摆放位置和其他装饰设计要考虑有利于声场的扩散,如音响设备与演唱者的距离要远,对声场的扩散有利。
4、包房各点声场声压级测试值偏差小于2dB。
5、在声影区设立一个独立的酒吧台或者私密区,避免声影区对其他功能区的影响。
五、KTV等娱乐场所建筑声学设计的隔声和噪声控制
1、室内内降噪量:

式中:△Lp—房间内吸声降噪量(dB); Q—指向性因子;R1—处理前的房间常数; R2—处理后的房间常数;r—受声点到声源的距离。
2、隔声质量定律:
R=20lgm+20lgf-48
式中:R—隔声量(dB); m—材料的面密度(kg/m2);
f—入射声波的频率(HZ);
《民用建筑设计通则》JGJ37-87中,要求各类主要用房的隔墙计权隔声量Rw不应小于40dB。


0类功能区适用于特殊住宅区,如高级住宅区、疗养院等。
1类功能区适用于以居住、文教机关为主的区域。
2类功能区适用于居住、商业、工业混杂区及商业中心区。
3类功能区适用于工业区。
4类功能区适用于交通干线道路两侧区域。
解决方案
(1)墙体隔音:大厅与包间之间,包间与包间之间都要做好隔声处理。首先经济实用的是2/4红砖墙,隔墙一定要砌到顶部,其次是隔音墙,采用轻钢龙骨石膏板或者隔音防火板。
(2)墙体需要走通风管道或者其他走线时再打孔穿过,线路要做好密封处理,避免引起串音现象。
(3)地面隔音:房间的空气噪声会通过振动向楼下和结构传播,可通过找平地面,满铺隔音材料,安装地板的方式解决。
(4)天花板隔音:在原有楼板的基础上,做轻钢龙骨吊顶,外面形成一个空腔内填满吸音材料,在吸音材料下面用双层石膏板做一层轻质吊顶。
(5)选择低频声的排风、空调系统,选择低阻抗阻尼系数的功放,话筒和音响系统。降低背景噪声。
(6)对通风系统和中央空调系统等进行必要的消声,隔音减振处理。
(7)其他配电房,机房,冷却塔等构筑物必须做好隔声减振处理。
(8)与外界相通的门窗必须做隔声处理,门窗要做好密封处理,不能留有缝隙。
使用材料要求
1、大厅和包房的顶棚材料应采用A级装修材料,墙面、地面材料不应低于B1级。
2、疏散通道和走廊内顶棚材料应采用A级装修材料,墙面、地面材料不应低于B1级。
3、大厅和包房顶棚、墙面装饰采用的龙骨材料均应为A级材料。
4、隔墙的耐火极限不低于2.0h,楼板耐火极限不低于1.5h。
5、疏散门的数量应经计算确定,且不应少于2个。且不应小于0.90m。应采用甲级防火门。
6、没有玻璃纤维粉尘污染,满足环保要求。甲醛释放量达到E1级以上标准。